
°¨¸¶ ºÐÆ÷´Â ¿À¸¥ÂÊÀ¸·Î Ä¡¿ìÃÄ ÀÖ°í 0º¸´Ù Å« ¾ç¼ö µ¥ÀÌÅÍ °ªÀ» ¸ðÇüÈÇÏ´Â µ¥ »ç¿ëÇÑ´Ù.
°¨¸¶ ºÐÆ÷´Â ÈçÈ÷ ½Å·Úµµ »ýÁ¸ ¿¬±¸¿¡ »ç¿ëµÈ´Ù.
¿¹¸¦ µé¾î °¨¸¶ ºÐÆ÷´Â Àü±â ºÎǰÀÌ °íÀå ³ª´Â ½Ã°£À» ³ªÅ¸³¾ ¼ö ÀÖ´Ù.
ÇÑ °¡Áö À¯ÇüÀÇ ÀüÀÚ ºÎǰÀÌ °íÀå ³ª´Â ½Ã±â´Â ´ëºÎºÐ °°Áö¸¸, ¸î °³ÀÇ ºÎǰÀº ¿À·£ ½Ã°£ÀÌ
Áö³ ÈÄ¿¡ °íÀåÀÌ ³¯ ¼ö ÀÖ´Ù.
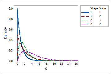
°¨¸¶ ºÐÆ÷´Â Çü»ó ¹× ôµµ ¸ð¼ö¿¡ ÀÇÇØ Á¤ÀǵǴ ¿¬¼ÓÇü ºÐÆ÷ÀÌ´Ù.
3-¸ð¼ö °¨¸¶ ºÐÆ÷´Â Çü»ó, ôµµ ¹× ºÐ°èÁ¡ ¸ð¼ö¿¡ ÀÇÇØ Á¤ÀǵȴÙ.

±×·¡ÇÁ¿¡¼ °¨¸¶ ºÐÆ÷´Â ºÐ°èÁ¡ÀÌ 0.0À¸·Î ¼³Á¤µÇ¾î ÀÖÀ» ¶§ ¼·Î ´Ù¸¥ Çü»ó ¹× ôµµ °ªÀ»
±âÁØÀ¸·Î Á¤ÀǵȴÙ. °¨¸¶ ºÐÆ÷¿¡¼´Â °ªÀÇ ¹ß»ý À§Ä¡°¡ ´ëºÎºÐ ¼·Î °¡±õÁö¸¸,
ÀϺΠ°ªÀº ¿À¸¥ÂÊ ²¿¸®·Î ´Ã¾îÁø´Ù.
Çü»ó ¸ð¼ö°¡ ¾çÀÇ Á¤¼öÀÎ °æ¿ì °¨¸¶ ºÐÆ÷¸¦ Erlang ºÐÆ÷¶ó°í ºÎ¸£±âµµ ÇÑ´Ù.
Erlang ºÐÆ÷´Â ´ë±â¿ ÀÌ·Ð ÀÀ¿ë ºÐ¾ß¿¡¼ ÀÚÁÖ »ç¿ëµÈ´Ù.